İstanbul Bölge İdare Mahkemesi’nde ne kadar dava açılıyor?
İSTANBUL BÖLGE İDARE MAHKEMESİ'NDE NE KADAR DAVA AÇILIYOR, NE KADARI ONANIYOR, NE KADARI BOZULUYOR, TEMYİZ EDİLEN DOSYALAR LEHE Mİ ALEYHE Mİ SONUÇLANIYOR?
Bu yazımızda İstanbul Bölge İdare Mahkemesi’nin iş yüküne ilişkin önemli bilgiler paylaşılacaktır. İstanbul Bölge İdare Mahkemesi Başkanlığı bünyesinde 2018 yılından 2019 yılına devreden dosya sayıları, 2019 yılında açılan dava sayıları, bu davaların ne kadarının karara bağlandığı, ne kadarının devrettiği, temyiz makamlarının ilk derece mahkemelerinin kararlarını hangi oranda bozduğu, hangi oranda onadığı, karar sürelerinin uzunluğu gibi konular ele alınacaktır.
TABLO 1: İDARE VE VERGİ MAHKEMELERİNDEKİ DOSYA SAYILARI VE BUNLARIN KARARA BAĞLANMA ORANLARI
 
Yukarıda yer alan Tablo 1’e baktığımızda İdare Mahkemelerinde dosyaların %71,49 2019 yılı içinde karara bağlanmışken %28,51’i ise 2020 yılına devretmiştir. Vergi mahkemelerinde ise dosyaların %72,41’i karara bağlanmışken %27,59’u ise 2020 yılına devretmiştir. İstanbul Bölge İdare Mahkemesi'nde ilk derece mahkemeleri toplam dosyaların ortalama %71,94’ünü karara bağlamıştır. Bunun anlamı açılan davaların ilk derece mahkemelerinde yıllarca devam etmediği ve davaların hızlı sonuçlandığıdır.
TABLO 2: İSTİNAF YA DA TEMYİZ YOLUNA GİDİLEREK YA DA GİDİLMEDEN KESİNLEŞEN DOSYA SAYILARI

Tablo 2’de 2019 yılında, istinaf ya da temyiz yoluna gidilmeden kesinleşen dosya sayısının toplam karara bağlanan dosya sayısına oranı idare mahkemelerinde %37,51 iken bu oran vergi mahkemelerinde %28,73 olmuştur. Yani idare mahkemelerinde temyize taşınan dosyanın karar sayısına oranı %62,49 iken bu oran vergi mahkemelerinde %71,27 olmuştur. Her 100 dosyada verilen kararların 37,51’i idare mahkemelerinde ilk derece mahkeme kararı ile kesinleşmişken, bu sayı vergi mahkemelerinde her 100 karardan 28,73’ü şeklindedir. İdare ve vergi mahkemelerinin genel ortalaması ise %33,19 şeklindedir.
TABLO 3: İSTİNAF DAİRELERİNDEKİ 2019 YILI DOSYA SAYILARI VE BUNLARIN KARARA BAĞLANMA ORANLARI İLE İSTİNAF KARARLARININ DANIŞTAY’DA TEMYİZ ORANLARI

Tablo 3 İdari Dava Dairelerinin elinde bulunan dosyaların 2019 yılında %81,36 oranında, Vergi Dava Dairelerinin ise elinde bulunan dosyaların %86,48 oranında karara bağladığını gösteriyor.
2019 yılında İstinaf İdari Dava Dairelerinden çıkan kararların %21,71’i ve Vergi Dava Dairelerinden çıkan kararların %25,50’si için Danıştay’da temyiz yoluna gidilmiştir. 2019 yılında verilen istinaf kararlarının toplamının ise %23,68’i için Danıştay’da temyiz yoluna gidilmiştir. Tabloda yer almamakla birlikte istinafta verilen kararların 2018 yılında %5,42’si, 2017’de ise %11,80’i için Danıştay’da temyiz yoluna gidilmiştir. İstinaflar kurulmadan önce ilk derece idare ve vergi mahkemeleri kararları için tamamen Danıştay’da temyiz yoluna gidilmekte idi. Bu durum bize İstinafların Danıştay’ın yükünü büyük ölçüde aldığını göstermektedir.
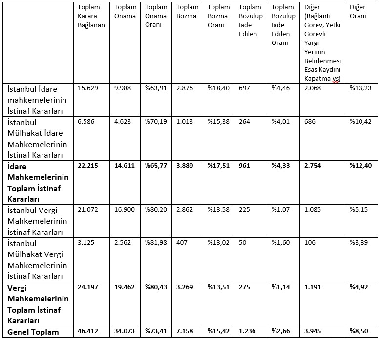
TABLO 4: İSTİNAFIN İDARE VE VERGİ MAHKEMELERİNİN KARARLARINI ONAMA VE BOZMA ORANI

NOT: 4483 sayılı Yasa kapsamında 1. İdare Dava Dairesi'nce karara bağlanan 1.520 adet kamu dosyası istatistiğe eklenmemiştir. KVYO kararı verilen dosyalar onama kararı olarak istatistiğe alınmıştır.
Yukarıda yer alan tabloya baktığımızda ilk derece idare mahkemelerinin kararlarının %65,77 si İstinaf tarafından onanmışken bozulma oranı %17,51 olmuştur. Vergi mahkemesi kararlarının istinaf tarafından onanma oranı ise %80,43 olmuştur. Vergi mahkemelerinin kararlarının %13,51’i de istinaf tarafından bozulmuştur.
İlk derece idare ve vergi mahkemelerinin kararları davayı açanlar lehine ya da aleyhine verilmiş olabilir. Buradaki istinafın onama veya bozma kararlarına bakarken bunu karıştırmamak gerekir. Sonuç olarak, 2019 yılında idare mahkemeleri kararları %65,17 oranında onanırken, vergi mahkemeleri kararları %80,43 oranında onanmıştır.
Diğer yandan İstanbul Bölge İdare Mahkemesi İstinaf Daireleri 16 dairenin ortalama karar süreleri 2016’da 88 gün, 2017’de 75 gün, 2018’de 87 gün ve 2019’da ise 98 gün olarak gerçekleşmiştir.
- 
                27 Mayıs 2025, Salı
                
Şirketlerin nefes alabilmesi için yeni bir yapılandırma ve matrah artırımı kanunu gerekmektedir
Devamını Oku - 
                27 Aralık 2024, Cuma
                
Bankaların paranın kaynağını sorgulaması vergi yasalarına göre mümkün müdür?
Devamını Oku - 
                16 Aralık 2024, Pazartesi
                
Özel esaslar/kod uygulaması kalktı mı, kalıcı hale mi geldi?
Devamını Oku - 
                06 Kasım 2024, Çarşamba
                
Vergisini ödediğiniz karı dağıtabilecek misiniz!
Devamını Oku - 
                31 Ekim 2024, Perşembe
                
2023 dönemi sonunda enflasyon muhasebesinden kar eden şirketler dikkat
Devamını Oku - 
                22 Ekim 2024, Salı
                
Enflasyon muhasebesi gerçekten de gerçeğe uygun olmayan bilançolar yaratmış!
Devamını Oku - 
                14 Ekim 2024, Pazartesi
                
Sadece kredi kartı limiti üzerinden değil, tapu, noter işlemlerinden de yeni vergiler alınacak!
Devamını Oku - 
                24 Eylül 2024, Salı
                
Enflasyon muhasebesi gerçeğe uygun olmayan bilançolar yaratıyor!
Devamını Oku - 
                24 Kasım 2022, Perşembe
                
Otomotivde ÖTV matrahı yeniden belirlenmiştir!
Devamını Oku - 
                22 Kasım 2022, Salı
                
Araç fiyatları ötv matrah artırımından nasıl etkilenecek, hangi araçların fiyatları düşecek?
Devamını Oku 
- BANKA HİSSELERİ
 - 
            
Hisse Fiyat Değişim(%) Piyasa Değeri AKBNK 61,10 0,49 317.720.000.000,00 ALBRK 8,40 2,07 21.000.000.000,00 GARAN 134,50 -0,07 564.900.000.000,00 HALKB 27,18 1,95 195.282.267.181,56 ICBCT 15,32 1,46 13.175.200.000,00 ISCTR 12,93 2,21 323.249.612.100,00 SKBNK 8,04 0,37 20.100.000.000,00 TSKB 12,85 -0,31 35.980.000.000,00 VAKBN 25,34 3,60 251.269.451.392,82 YKBNK 33,44 -0,48 282.469.394.936,96  

                    ABD Hazinesi 4. çeyrek için borçlanma...
                
                    Avrupa borsaları karışık seyirle...
                
                    New York borsası pozitif açıldı
                
                    Dev bankalar altın tahminlerini...
                
                    Bankacılık sektörünün mevduatı...
                
                    Dünya piyasalarında ticaret barışı...