| Hisse | Fiyat | Değişim(%) | Piyasa Değeri |
|---|---|---|---|
| AKBNK | 69,30 | -0,65 | 360.360.000.000,00 |
| ALBRK | 7,82 | -1,26 | 19.550.000.000,00 |
| GARAN | 139,40 | -1,06 | 585.480.000.000,00 |
| HALKB | 36,94 | -0,16 | 265.405.700.871,48 |
| ICBCT | 13,13 | -0,68 | 11.291.800.000,00 |
| ISCTR | 13,53 | -1,02 | 338.249.594.100,00 |
| SKBNK | 7,81 | 0,39 | 19.525.000.000,00 |
| TSKB | 12,52 | -1,49 | 35.056.000.000,00 |
| VAKBN | 30,06 | 1,28 | 298.072.600.981,38 |
| YKBNK | 35,18 | -1,57 | 297.167.264.171,12 |
E-posta listemize kayıt olun, en son haberler adresinize gelsin.

Denizbank eski Levent Şube Müdürü Seçil Erzan’ın Türkiye'yi sarsan milyon dolarlık dolandırıcılık davasında yeni detaylar ortaya çıktı. 10 Nisan 2023 günü Çorlu’da gözaltına alınan Seçil Erzan’ın evinde yapılan aramalarda, ele geçirilen bazı dokümanlar da yakalama dosyasına konuldu.
DOLAR VE TL LİSTESİ
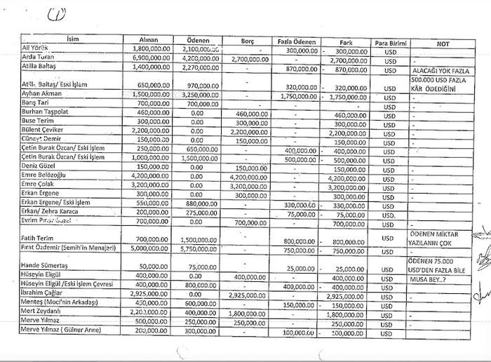
Seçil Erzan’ın daha önce kimden kaç para aldığına yönelik hazırlanan iki liste ortaya çıkmıştı. Bunlardan biri 29 kişilik, diğeri 21 kişilik bir isim listesiydi. Bu isim listesiyle ilgili yeni gelişme yaşandı. Habertürk'ten Mustafa Şekeroğlu'nun haberine göre, gözaltına alınan Seçil Erzan’ın evinde biri dolar diğeri Türk lirası olarak aldığı ve ödediği para listesi ele geçirildi. Listenin içeriği; isim, alınan, ödenen, borç, fazla ödenen, fark, para birimi ve not olarak hazırlanmış.

Hazırlanan dolar listesi, 47 kalem olarak sıralanıyor. Listede ünlü teknik direktör Fatih Terim’in ismi de yer alıyor. Fatih Terim’den 700 bin dolar alındığı, 1 milyon 500 bin dolar ödendiği yazılıyor. 800 bin dolar fazla ödenen listenin not bölümüne "Ödenen miktar yazılanın çok" ibaresi düşülmüş. TL listesindeki isimler arasında Fatih Terim’in şoförü Umut Algöze de yer alıyor. Listeye göre Algöze 100 bin lira ödemiş, 150 bin olarak parasını almış gözüküyor.

Hangi tarihe ait olduğu tam belli olmayan bu listede Şeçil Erzan’ın 55 milyon 633 bin 22 dolar topladığı görülüyor. Tabloya göre de kimi kişilere daha fazla ödediği notları ile beraber 45 milyon dolar geri verildiği ifade edilmiş. Ancak borç ve fazla ödenen tutarlarda hesap tutmuyor.

Hazırlanan ikinci listede yer alan kişilerden 10 kez para alındığı görülüyor. Bunlardan toplam 27 milyon 760 bin lira para toplandı. Bunlara karşılık 42 milyon 360 bin lira para ödendi. 2 milyon borç görünen listede 16 milyon lira fazla ödeme yapıldı.
Ele geçirilen bu listenin doğru olup olmadığı yapılacak incelemelerde ortaya çıkacak.
TERİM, 23 MİLYONLUK İHTİYAÇ KREDİSİ ÇEKMİŞ
Seçil Erzan’ın evinde çıkan bir işlem belgesinde, Fatih Terim’in ihtiyaç kredisi çektiği görülüyor. Dosyaya giren işlem belgesine göre Fatih Terim 22 Mayıs 2020’de Denizbank’tan 23 milyon 700 bin lira ihtiyaç kredisi çekti. Toplam 30 milyon 549 bin lira olarak yapılacak ödemesine göre aylık 1 milyon 243 bin lira taksit işlemi yapıldığı görülüyor.
Denizbank görüntüleri paylaştı! Arda'nın paraları bankadan nasıl çekildi?
Denizbank'tan Seçil Erzan iddiaları hakkında açıklama
Futbol dünyasını sarsan fon vurgunu iddiasında Terimler'in ifadesi ortaya çıktı
Fatih Terim banka dolandırıcılığı soruşturmasında 'müşteki' sıfatıyla ifade verdi
Seçil Erzan'a para verenler, kazananlar, kaybedenler
Tanıtımda ‘milli forma’yı kimler giyiyor? Turizmde 'mini dizi' dönemi
Çin menşeli bazı yassı çelik ürünlerine damping önlemi
Libya Genelkurmay Başkanı ve heyeti için tören yapıldı
Suriye, Esad dönemi 70 subayı serbest bıraktı
Rusya’da İslami banka kurulması gündemde
Zelenskiy–Trump görüşmesi öncesi Rusya Kiev’e saldırdı
İstanbul’da hava 4 dereceye kadar düştü
İzmir’de 30 milyon liralık telefon dolandırıcılığı operasyonu
Sosyal medyada 'tetikçi' ilanı verdi, gözaltına alındı
Finansingundemi.com’da yer alan bilgi, yorum ve tavsiyeleri yatırım danışmanlığı kapsamında değildir. Yatırım danışmanlığı hizmeti; aracı kurumlar, portföy yönetim şirketleri, mevduat kabul etmeyen bankalar ile müşteri arasında imzalanacak yatırım danışmanlığı sözleşmesi çerçevesinde sunulmaktadır. Burada yer alan yorum ve tavsiyeler, yorum ve tavsiyede bulunanların kişisel görüşlerine dayanmaktadır. Bu görüşler mali durumunuz ile risk ve getiri tercihlerinize uygun olmayabilir. Bu nedenle, sadece burada yer alan bilgilere dayanılarak yatırım kararı verilmesi beklentilerinize uygun sonuçlar doğurmayabilir. Burada yer alan bilgiler, güvenilir olduğuna inanılan halka açık kaynaklardan elde edilmiş olup bu kaynaklardaki bilgilerin hata ve eksikliğinden ve ticari amaçlı işlemlerde kullanılmasından doğabilecek zararlardan www.finansingundemi.com ve yöneticileri hiçbir şekilde sorumluluk kabul etmemektedir. Burada yer alan görüş ve düşüncelerin www.finansingundemi.com ve yönetimi için hiçbir bağlayıcılığı yoktur. BİST isim ve logosu “koruma marka belgesi” altında korunmakta olup izinsiz kullanılamaz, iktibas edilemez, değiştirilemez. BİST ismi altında açıklanan tüm bilgilerin telif hakları tamamen BİST’e ait olup, tekrar yayınlanamaz.